Win IT Exam with Last Dumps 2025


Google Professional-Cloud-Developer Exam

Page 19/38
Viewing Questions 181 190 out of 375 Questions
50.00%

Question 181
Your team is building an application for a financial institution. The application's frontend runs on Compute Engine, and the data resides in Cloud SQL and one Cloud Storage bucket. The application will collect data containing PII, which will be stored in the Cloud SQL database and the Cloud Storage bucket. You need to secure the PII data. What should you do?




Question 182
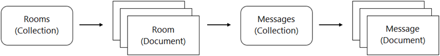
You are designing a chat room application that will host multiple rooms and retain the message history for each room. You have selected Firestore as your database. How should you represent the data in Firestore?




Question 183
You are developing an application that will handle requests from end users. You need to secure a Cloud Function called by the application to allow authorized end users to authenticate to the function via the application while restricting access to unauthorized users. You will integrate Google Sign-In as part of the solution and want to follow Google-recommended best practices. What should you do?




Question 184
You are running a web application on Google Kubernetes Engine that you inherited. You want to determine whether the application is using libraries with known vulnerabilities or is vulnerable to XSS attacks. Which service should you use?




Question 185
You are building a highly available and globally accessible application that will serve static content to users. You need to configure the storage and serving components. You want to minimize management overhead and latency while maximizing reliability for users. What should you do?





Question 186
Case study -
This is a case study. Case studies are not timed separately. You can use as much exam time as you would like to complete each case. However, there may be additional case studies and sections on this exam. You must manage your time to ensure that you are able to complete all questions included on this exam in the time provided.
To answer the questions included in a case study, you will need to reference information that is provided in the case study. Case studies might contain exhibits and other resources that provide more information about the scenario that is described in the case study. Each question is independent of the other questions in this case study.
At the end of this case study, a review screen will appear. This screen allows you to review your answers and to make changes before you move to the next section of the exam. After you begin a new section, you cannot return to this section.

To start the case study -
To display the first question in this case study, click the Next button. Use the buttons in the left pane to explore the content of the case study before you answer the questions. Clicking these buttons displays information such as business requirements, existing environment, and problem statements. If the case study has an All Information tab, note that the information displayed is identical to the information displayed on the subsequent tabs. When you are ready to answer a question, click the Question button to return to the question.

Company Overview -
HipLocal is a community application designed to facilitate communication between people in close proximity. It is used for event planning and organizing sporting events, and for businesses to connect with their local communities. HipLocal launched recently in a few neighborhoods in Dallas and is rapidly growing into a global phenomenon. Its unique style of hyper-local community communication and business outreach is in demand around the world.

Executive Statement -
We are the number one local community app; it's time to take our local community services global. Our venture capital investors want to see rapid growth and the same great experience for new local and virtual communities that come online, whether their members are 10 or 10000 miles away from each other.

Solution Concept -
HipLocal wants to expand their existing service, with updated functionality, in new regions to better serve their global customers. They want to hire and train a new team to support these regions in their time zones. They will need to ensure that the application scales smoothly and provides clear uptime data, and that they analyze and respond to any issues that occur.

Existing Technical Environment -
HipLocal's environment is a mix of on-premises hardware and infrastructure running in Google Cloud Platform. The HipLocal team understands their application well, but has limited experience in global scale applications. Their existing technical environment is as follows:
• Existing APIs run on Compute Engine virtual machine instances hosted in GCP.
• State is stored in a single instance MySQL database in GCP.
• Release cycles include development freezes to allow for QA testing.
• The application has no logging.
• Applications are manually deployed by infrastructure engineers during periods of slow traffic on weekday evenings.
• There are basic indicators of uptime; alerts are frequently fired when the APIs are unresponsive.

Business Requirements -
HipLocal's investors want to expand their footprint and support the increase in demand they are seeing. Their requirements are:
• Expand availability of the application to new regions.
• Support 10x as many concurrent users.
• Ensure a consistent experience for users when they travel to different regions.
• Obtain user activity metrics to better understand how to monetize their product.
• Ensure compliance with regulations in the new regions (for example, GDPR).
• Reduce infrastructure management time and cost.
• Adopt the Google-recommended practices for cloud computing.
○ Develop standardized workflows and processes around application lifecycle management.
○ Define service level indicators (SLIs) and service level objectives (SLOs).

Technical Requirements -
• Provide secure communications between the on-premises data center and cloud-hosted applications and infrastructure.
• The application must provide usage metrics and monitoring.
• APIs require authentication and authorization.
• Implement faster and more accurate validation of new features.
• Logging and performance metrics must provide actionable information to be able to provide debugging information and alerts.
• Must scale to meet user demand.

For this question refer to the HipLocal case study.
HipLocal wants to reduce the latency of their services for users in global locations. They have created read replicas of their database in locations where their users reside and configured their service to read traffic using those replicas. How should they further reduce latency for all database interactions with the least amount of effort?




Question 187
Case study -
This is a case study. Case studies are not timed separately. You can use as much exam time as you would like to complete each case. However, there may be additional case studies and sections on this exam. You must manage your time to ensure that you are able to complete all questions included on this exam in the time provided.
To answer the questions included in a case study, you will need to reference information that is provided in the case study. Case studies might contain exhibits and other resources that provide more information about the scenario that is described in the case study. Each question is independent of the other questions in this case study.
At the end of this case study, a review screen will appear. This screen allows you to review your answers and to make changes before you move to the next section of the exam. After you begin a new section, you cannot return to this section.

To start the case study -
To display the first question in this case study, click the Next button. Use the buttons in the left pane to explore the content of the case study before you answer the questions. Clicking these buttons displays information such as business requirements, existing environment, and problem statements. If the case study has an All Information tab, note that the information displayed is identical to the information displayed on the subsequent tabs. When you are ready to answer a question, click the Question button to return to the question.

Company Overview -
HipLocal is a community application designed to facilitate communication between people in close proximity. It is used for event planning and organizing sporting events, and for businesses to connect with their local communities. HipLocal launched recently in a few neighborhoods in Dallas and is rapidly growing into a global phenomenon. Its unique style of hyper-local community communication and business outreach is in demand around the world.

Executive Statement -
We are the number one local community app; it's time to take our local community services global. Our venture capital investors want to see rapid growth and the same great experience for new local and virtual communities that come online, whether their members are 10 or 10000 miles away from each other.

Solution Concept -
HipLocal wants to expand their existing service, with updated functionality, in new regions to better serve their global customers. They want to hire and train a new team to support these regions in their time zones. They will need to ensure that the application scales smoothly and provides clear uptime data, and that they analyze and respond to any issues that occur.

Existing Technical Environment -
HipLocal's environment is a mix of on-premises hardware and infrastructure running in Google Cloud Platform. The HipLocal team understands their application well, but has limited experience in global scale applications. Their existing technical environment is as follows:
• Existing APIs run on Compute Engine virtual machine instances hosted in GCP.
• State is stored in a single instance MySQL database in GCP.
• Release cycles include development freezes to allow for QA testing.
• The application has no logging.
• Applications are manually deployed by infrastructure engineers during periods of slow traffic on weekday evenings.
• There are basic indicators of uptime; alerts are frequently fired when the APIs are unresponsive.

Business Requirements -
HipLocal's investors want to expand their footprint and support the increase in demand they are seeing. Their requirements are:
• Expand availability of the application to new regions.
• Support 10x as many concurrent users.
• Ensure a consistent experience for users when they travel to different regions.
• Obtain user activity metrics to better understand how to monetize their product.
• Ensure compliance with regulations in the new regions (for example, GDPR).
• Reduce infrastructure management time and cost.
• Adopt the Google-recommended practices for cloud computing.
○ Develop standardized workflows and processes around application lifecycle management.
○ Define service level indicators (SLIs) and service level objectives (SLOs).

Technical Requirements -
• Provide secure communications between the on-premises data center and cloud-hosted applications and infrastructure.
• The application must provide usage metrics and monitoring.
• APIs require authentication and authorization.
• Implement faster and more accurate validation of new features.
• Logging and performance metrics must provide actionable information to be able to provide debugging information and alerts.
• Must scale to meet user demand.

For this question, refer to the HipLocal case study.
Which Google Cloud product addresses HipLocal’s business requirements for service level indicators and objectives?




Question 188
Case study -
This is a case study. Case studies are not timed separately. You can use as much exam time as you would like to complete each case. However, there may be additional case studies and sections on this exam. You must manage your time to ensure that you are able to complete all questions included on this exam in the time provided.
To answer the questions included in a case study, you will need to reference information that is provided in the case study. Case studies might contain exhibits and other resources that provide more information about the scenario that is described in the case study. Each question is independent of the other questions in this case study.
At the end of this case study, a review screen will appear. This screen allows you to review your answers and to make changes before you move to the next section of the exam. After you begin a new section, you cannot return to this section.

To start the case study -
To display the first question in this case study, click the Next button. Use the buttons in the left pane to explore the content of the case study before you answer the questions. Clicking these buttons displays information such as business requirements, existing environment, and problem statements. If the case study has an All Information tab, note that the information displayed is identical to the information displayed on the subsequent tabs. When you are ready to answer a question, click the Question button to return to the question.

Company Overview -
HipLocal is a community application designed to facilitate communication between people in close proximity. It is used for event planning and organizing sporting events, and for businesses to connect with their local communities. HipLocal launched recently in a few neighborhoods in Dallas and is rapidly growing into a global phenomenon. Its unique style of hyper-local community communication and business outreach is in demand around the world.

Executive Statement -
We are the number one local community app; it's time to take our local community services global. Our venture capital investors want to see rapid growth and the same great experience for new local and virtual communities that come online, whether their members are 10 or 10000 miles away from each other.

Solution Concept -
HipLocal wants to expand their existing service, with updated functionality, in new regions to better serve their global customers. They want to hire and train a new team to support these regions in their time zones. They will need to ensure that the application scales smoothly and provides clear uptime data, and that they analyze and respond to any issues that occur.

Existing Technical Environment -
HipLocal's environment is a mix of on-premises hardware and infrastructure running in Google Cloud Platform. The HipLocal team understands their application well, but has limited experience in global scale applications. Their existing technical environment is as follows:
• Existing APIs run on Compute Engine virtual machine instances hosted in GCP.
• State is stored in a single instance MySQL database in GCP.
• Release cycles include development freezes to allow for QA testing.
• The application has no logging.
• Applications are manually deployed by infrastructure engineers during periods of slow traffic on weekday evenings.
• There are basic indicators of uptime; alerts are frequently fired when the APIs are unresponsive.

Business Requirements -
HipLocal's investors want to expand their footprint and support the increase in demand they are seeing. Their requirements are:
• Expand availability of the application to new regions.
• Support 10x as many concurrent users.
• Ensure a consistent experience for users when they travel to different regions.
• Obtain user activity metrics to better understand how to monetize their product.
• Ensure compliance with regulations in the new regions (for example, GDPR).
• Reduce infrastructure management time and cost.
• Adopt the Google-recommended practices for cloud computing.
○ Develop standardized workflows and processes around application lifecycle management.
○ Define service level indicators (SLIs) and service level objectives (SLOs).

Technical Requirements -
• Provide secure communications between the on-premises data center and cloud-hosted applications and infrastructure.
• The application must provide usage metrics and monitoring.
• APIs require authentication and authorization.
• Implement faster and more accurate validation of new features.
• Logging and performance metrics must provide actionable information to be able to provide debugging information and alerts.
• Must scale to meet user demand.

For this question, refer to the HipLocal case study.
A recent security audit discovers that HipLocal’s database credentials for their Compute Engine-hosted MySQL databases are stored in plain text on persistent disks. HipLocal needs to reduce the risk of these credentials being stolen. What should they do?




Question 189
Case study -
This is a case study. Case studies are not timed separately. You can use as much exam time as you would like to complete each case. However, there may be additional case studies and sections on this exam. You must manage your time to ensure that you are able to complete all questions included on this exam in the time provided.
To answer the questions included in a case study, you will need to reference information that is provided in the case study. Case studies might contain exhibits and other resources that provide more information about the scenario that is described in the case study. Each question is independent of the other questions in this case study.
At the end of this case study, a review screen will appear. This screen allows you to review your answers and to make changes before you move to the next section of the exam. After you begin a new section, you cannot return to this section.

To start the case study -
To display the first question in this case study, click the Next button. Use the buttons in the left pane to explore the content of the case study before you answer the questions. Clicking these buttons displays information such as business requirements, existing environment, and problem statements. If the case study has an All Information tab, note that the information displayed is identical to the information displayed on the subsequent tabs. When you are ready to answer a question, click the Question button to return to the question.

Company Overview -
HipLocal is a community application designed to facilitate communication between people in close proximity. It is used for event planning and organizing sporting events, and for businesses to connect with their local communities. HipLocal launched recently in a few neighborhoods in Dallas and is rapidly growing into a global phenomenon. Its unique style of hyper-local community communication and business outreach is in demand around the world.

Executive Statement -
We are the number one local community app; it's time to take our local community services global. Our venture capital investors want to see rapid growth and the same great experience for new local and virtual communities that come online, whether their members are 10 or 10000 miles away from each other.

Solution Concept -
HipLocal wants to expand their existing service, with updated functionality, in new regions to better serve their global customers. They want to hire and train a new team to support these regions in their time zones. They will need to ensure that the application scales smoothly and provides clear uptime data, and that they analyze and respond to any issues that occur.

Existing Technical Environment -
HipLocal's environment is a mix of on-premises hardware and infrastructure running in Google Cloud Platform. The HipLocal team understands their application well, but has limited experience in global scale applications. Their existing technical environment is as follows:
• Existing APIs run on Compute Engine virtual machine instances hosted in GCP.
• State is stored in a single instance MySQL database in GCP.
• Release cycles include development freezes to allow for QA testing.
• The application has no logging.
• Applications are manually deployed by infrastructure engineers during periods of slow traffic on weekday evenings.
• There are basic indicators of uptime; alerts are frequently fired when the APIs are unresponsive.

Business Requirements -
HipLocal's investors want to expand their footprint and support the increase in demand they are seeing. Their requirements are:
• Expand availability of the application to new regions.
• Support 10x as many concurrent users.
• Ensure a consistent experience for users when they travel to different regions.
• Obtain user activity metrics to better understand how to monetize their product.
• Ensure compliance with regulations in the new regions (for example, GDPR).
• Reduce infrastructure management time and cost.
• Adopt the Google-recommended practices for cloud computing.
○ Develop standardized workflows and processes around application lifecycle management.
○ Define service level indicators (SLIs) and service level objectives (SLOs).

Technical Requirements -
• Provide secure communications between the on-premises data center and cloud-hosted applications and infrastructure.
• The application must provide usage metrics and monitoring.
• APIs require authentication and authorization.
• Implement faster and more accurate validation of new features.
• Logging and performance metrics must provide actionable information to be able to provide debugging information and alerts.
• Must scale to meet user demand.

For this question, refer to the HipLocal case study.
HipLocal is expanding into new locations. They must capture additional data each time the application is launched in a new European country. This is causing delays in the development process due to constant schema changes and a lack of environments for conducting testing on the application changes. How should they resolve the issue while meeting the business requirements?




Question 190
You are writing from a Go application to a Cloud Spanner database. You want to optimize your application’s performance using Google-recommended best practices. What should you do?








Premium Version